Pages
Home
About
Privacy Policy
Contact us
Category
Home
Gadgets
Sub-Menu 1
Sub-Menu 2
Sub Sub-Menu 1
Sub Sub-Menu 2
Sub Sub-Menu 3
Sub Sub-Menu 4
Sub-Menu 3
Sub Sub-Menu 1
Sub Sub-Menu 2
Sub Sub-Menu 3
Sub Sub-Menu 4
Humor
Internet
Sub-Menu 1
Sub-Menu 2
Sub Sub-Menu 1
Sub Sub-Menu 2
Sub Sub-Menu 3
Sub Sub-Menu 4
Sub-Menu 3
Sub Sub-Menu 1
Sub Sub-Menu 2
Sub Sub-Menu 3
Sub Sub-Menu 4
Social
Venture
DISTRICT WISE NEWS
अंबेडकरनगर
अमरोहा
अमेठी
अलीगढ़
आगरा
इटावा
इलाहाबाद
उन्नाव
एटा
औरैया
कन्नौज
कानपुर
कानपुर देहात
कानपुर नगर
कासगंज
कुशीनगर
कौशांबी
कौशाम्बी
गाजियाबाद
गाजीपुर
गोंडा
गोण्डा
गोरखपुर
गौतमबुद्ध नगर
गौतमबुद्धनगर
चंदौली
चन्दौली
चित्रकूट
जालौन
जौनपुर
ज्योतिबा फुले नगर
झाँसी
झांसी
देवरिया
पीलीभीत
फतेहपुर
फर्रुखाबाद
फिरोजाबाद
फैजाबाद
बदायूं
बरेली
बलरामपुर
बलिया
बस्ती
बहराइच
बाँदा
बांदा
बागपत
बाराबंकी
बिजनौर
बुलंदशहर
बुलन्दशहर
भदोही
मऊ
मथुरा
महराजगंज
महोबा
मिर्जापुर
मीरजापुर
मुजफ्फरनगर
मुरादाबाद
मेरठ
मैनपुरी
रामपुर
रायबरेली
लखनऊ
लखीमपुर खीरी
ललितपुर
लख़नऊ
वाराणसी
शामली
शाहजहाँपुर
श्रावस्ती
संतकबीरनगर
संभल
सहारनपुर
सिद्धार्थनगर
सीतापुर
सुलतानपुर
सुल्तानपुर
सोनभद्र
हमीरपुर
हरदोई
हाथरस
हापुड़
प्राइमरी का मास्टर ● इन | Primary Ka Master | District News | Basic Shiksha | Shikshamitra
जर्जर भवन
हाथरस
Thursday, September 19, 2019
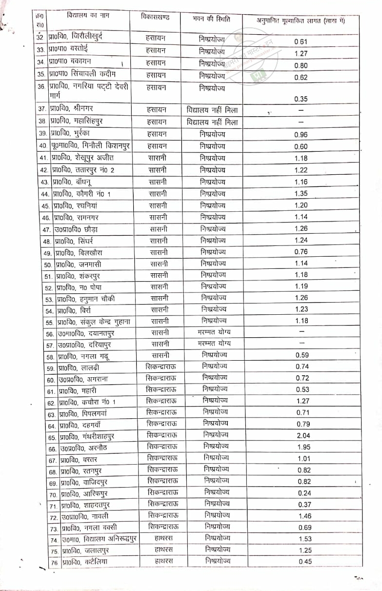
हाथरस : जनपद के जर्जर प्राथमिक / उच्च प्राथमिक विद्यालयों के सम्बन्ध में सूचना उपलब्ध कराने के सम्बन्ध में
September 19, 2019
हाथरस : जनपद के जर्जर प्राथमिक / उच्च प्राथमिक विद्यालयों के सम्बन्ध में सूचना उपलब्ध कराने के सम्बन्ध में
No comments:
Write comments
Get News Updates in your Email Box
Complete the form below, and we'll send you our recent news and orders update.
STATE LEVEL NEWS
SUBJECT WISE NEWS
17140
अक्षयपात्र
अटेवा
अनशन
अनुदेशक
अवकाश
आँगनबाड़ी
आधार कार्ड
आयकर
आरटीई
आवेदन
आश्रम पद्दति विद्यालय
इंटीनरेंट टीचर
उच्च शिक्षा
उपस्थिति
उर्दू अध्यापक
एनपीआरसी
एबीआरसी
एमडीएम
एरियर
ऑडिट
कंप्यूटर
कटऑफ
कन्वर्जन कास्ट
कस्तूरबा
कस्तूरबा गांधी विद्यालय
कस्तूरबा बालिका विद्यालय
काउंसलिंग
काउंसिलिंग
कार्यवाही
कार्रवाई
खेल
गणित/विज्ञान शिक्षक भर्ती
गुणवत्ता
गैर मान्यता प्राप्त विद्यालय
गैरशैक्षणिक
ग्राम शिक्षा समिति
ग्रेडिंग
चयन
चुनाव
छात्र उपस्थिति
छात्रवृत्ति
जनगणना
जन्मदिन
जवाहर नवोदय विद्यालय
जांच
जिलाधिकारी
जीपीएफ
जूनियर हाईस्कूल शिक्षक संघ
ज्ञापन
टीईटी
डायट
ड्रेस वितरण
दुर्घटना
दूध वितरण
धरना
धारणाधिकार
नवाचार
नवीनीकरण
नामांकन
निःशुल्क पुस्तक वितरण
निधन
नियुक्ति
नियुक्ति पत्र
निरीक्षण
निर्माण
निलंबन
नीति
नैपकिन वितरण
नोटिस
न्यायालय
न्यायालय आदेश
पंचायत चुनाव
पत्र
पदावनति
पदोन्नति
पदोन्नति वेतनमान
परिषदीय विद्यालय
परीक्षा
परीक्षाफल
पल्स पोलियो कार्यक्रम
पाठ्य सहगामी क्रियाकलाप
पाठ्यक्रम
पुरस्कार
पुस्तक
पेंशन
प्रतिकूल प्रविष्टि
प्रत्यावेदन
प्रदर्शन
प्रपत्र
प्रबन्ध समिति
प्रशिक्षण
प्रशिक्षित बीपीएड संघर्ष मोर्चा
प्रशिक्षु शिक्षक
प्रशिक्षु शिक्षक चयन 2011
प्रशिक्षु शिक्षक नियुक्ति
प्राइवेट स्कूल
प्राथमिक शिक्षक संघ
प्रेरक
फल वितरण
फीस
बजट
बर्खास्तगी
बाल अधिकार
बालिका शिक्षा
बीआरसी
बीईओ
बीएड
बीएलओ
बीएसए
बीटीसी
बैठक
बोनस
भर्ती
भ्रष्टाचार
मदरसा
मांगपत्र
मातृत्व अवकाश
माध्यमिक शिक्षक संघ
माध्यमिक शिक्षा
मानदेय
मान्यता
मिड डे मील
मृतक आश्रित
मॉडल स्कूल
मोअल्लिम डिग्री
यूडायस
यूनिफॉर्म
यूपीटेट
रसोइया
रसोईया
राष्ट्रीय डी-वार्मिंग दिवस
राष्ट्रीय मतदाता दिवस
राष्ट्रीय शैक्षिक महासंघ
वरिष्ठता
वार्षिक खेलकूद प्रतियोगिता
विकलांग
विज्ञप्ति
विज्ञान-गणित शिक्षक भर्ती
वित्त एवं लेखाधिकारी
विद्यालय
विद्यालय पुरस्कार योजना
विद्यालय प्रबंध समिति
विद्युतीकरण
विरोध
विशिष्ट बीटीसी
वृक्षारोपण
वेतन
वेतन कटौती
वेतन बाधित
वेतन विसंगति
शपथ
शिकायत
शिक्षक
शिक्षक छात्र अनुपात
शिक्षक पात्रता परीक्षा
शिक्षक भर्ती
शिक्षक सम्मान
शिक्षमित्र
शिक्षा गुणवत्ता
शिक्षामित्र
शिक्षामित्र संघ
शीतलहर अवकाश
शुल्क प्रतिपूर्ति
शैक्षिक गुणवत्ता
शैक्षिक नवाचार
शौचालय
सतत एवं व्यापक मूल्यांकन
सत्यापन
सत्र परीक्षा
सत्रलाभ
समय परिवर्तन
समय सारिणी
समाजवादी अभिनव विद्यालय
समाजवादी पेंशन
समायोजन
समायोजित शिक्षक
समायोजित शिक्षक वेतन भुगतान आदेश
समारोह
समीक्षा बैठक
समेकित शिक्षा
सम्मान
सर्व शिक्षा अभियान
सहसमन्वयक
साक्षर भारत मिशन
सातवां वेतन
सीटेट
सीबीएसई
सीसीएल
सेवानिवृति
सेवापुस्तिका
स्काउट-गाइड
स्कूल
स्थानांतरण
स्वच्छता
हड़ताल
हेल्पलाइन
शासनादेश डॉट कॉम से ...
सेवायोजन डॉट कॉम से ...
पॉज़िटिव न्यूज़ डॉट इन से
No comments:
Write comments